Transfacet transforaminal lumbar interbody fusion (TF-TLIF) results in greater change in spondylolisthesis and posterior disc height compared to percutaneous TLIF (Perc-TLIF) or minimally invasive TLIF (MIS-TLIF): a retrospective study
Highlight box
Key findings
• The transfacet-TLIF (TF-TLIF) approach demonstrates favorable short-term clinical outcomes, with greater spondylolisthesis reduction and posterior disc height correction compared to the percutaneous and minimally invasive (MIS) approaches.
What is known and what is new?
• The standard MIS-TLIF approach provides favorable clinical outcomes compared to traditional open approaches; however, new techniques have gained popularity such as the percutaneous and transfacet approaches.
• The transfacet approach is known to reduce the risks of neural injury in TLIF surgery by preserving the ligamentum flavum and bony edges as protective barriers. However, there has been no prior comparison between this technique and other TLIF techniques.
What is the implication, and what should change now?
• The transfacet approach shows promise as a method for deploying large cages in TLIFs. The MIS and percutaneous approaches, however, also have advantages, such as reduced estimated blood loss with the percutaneous approach.
Introduction
Minimally invasive (MIS) surgical techniques have grown in popularity over the past decade, driven by the potential to reduce morbidity and postoperative complications associated with open surgery (1-6). This rise in popularity has been underscored by a growing body of literature demonstrating better clinical outcomes associated with minimally invasive spine surgery (MISS), with reduced blood loss and postoperative pain, accelerated recovery, less soft tissue destruction intraoperatively, and lower complication rates compared to open surgeries (5-11). Associations have also been established between MISS and shorter operative time, less resource utilization, earlier hospital discharge, and lower overall cost, demonstrating both clinical and economic benefits (12-14). With improvements in technology, MIS approaches have taken center stage for a wide range of both complex and routine operations, such as the transforaminal lumbar interbody fusion (TLIF).
Since its inception, the TLIF has evolved in both the techniques utilized and its indications (15). Today, the TLIF is used widely to treat spinal deformities, radiculopathy, or pain refractory to pharmacological treatment (16,17). While this procedure began as an open surgery offered primarily as an alternative to the posterior lumbar interbody fusion (PLIF), the introduction of the minimally invasive TLIF (MIS-TLIF) has allowed for the further differentiation into variations such as the Trans-Kambin’s triangle TLIF [percutaneous-TLIF (Perc-TLIF)] and transfacet TLIF (TF-TLIF) (18,19).
In essence, there are three different variations of the TLIF: the MIS-TLIF, the TF-TLIF, and the Perc-TLIF. The MIS approach utilizes two small incisions in the back to allow for surgeons to directly decompress the nerve root, insert an interbody cage, and stabilize the target bone segments with pedicle screw instrumentation. Compared to the open approach, the MIS approach utilizes a smaller incision size and avoids extensive musculature dissection. The percutaneous approach accesses the lumbar spine through Kambin’s triangle, made up of the exiting nerve root, the superior articular process of the inferior vertebrae, and the superior end plate of the inferior vertebral body. The transfacet approach has emerged as a particularly novel approach to MIS fusion. This technique involves drilling through the superior and inferior articular processes while sparing the lateral edge of the superior articular process, spinal lamina, pars interarticularis, and ligamentum flavum (20). By utilizing a lateral access site to the spine, the TF-TLIF method requires minimal, or no nerve root retraction compared to alternatives and reduces surgical risks (21).
While the advantages of MIS-TLIF compared to open are well-cited, there remains an unclear consensus on the utility of different TLIF techniques. Huang et al. and Khalifeh et al. recently established the TF-TLIF approach as a viable method for spondylolisthesis reduction and disc height restoration with good short-term clinical outcomes, but without comparison to other techniques (22,23). Zhu et al. noted advantages in percutaneous endoscopic TLIF compared to MIS-TLIF but found limited long-term differences (24). Given the lack of consensus and rise in MIS-TLIF adoptions, this single-institution, retrospective analysis aims to compare clinical and radiographic outcomes between the three main approaches to the TLIF. We present this article in accordance with the STROBE reporting checklist (available at https://jss.amegroups.com/article/view/10.21037/jss-24-168/rc).
Methods
Study design and participants
The electronic medical records and radiographs for patients undergoing a single-level TLIF at Duke University Hospital were retrospectively reviewed and patients treated by a single surgeon between 2018 and 2024 were included. Inclusion criteria included (I) significant neural compression requiring extensive decompression; (II) Meyerding grade I–II spondylolisthesis with segmental instability; and (III) disc degeneration disease with segmental instability. Patients presenting with pronounced spinal deformities, tumors, co-infections, or trauma were excluded.
A total of 94 patients were included in this study. There were 17 patients receiving a TF-TLIF, 31 patients receiving a MIS-TLIF, and 46 patients receiving a Perc-TLIF. A complete overview of the cohort is available in the Results section. All patients reported subjective outcome measures and opioid usage data. Pre-operative and post-operative radiographic data were reported for 88 out of the 94 total patients. Clinical outcomes and percent change in radiographic measurements, calculated by the formula: (post-operative value − pre-operative value)/(pre-operative value) × 100%, were compared between TLIF groups.
This study was conducted in accordance with the Declaration of Helsinki and its subsequent amendments, and approved by the Duke University Hospital Institutional Review Board (IRB No. Pro00071025). Individual consent for this retrospective analysis was waived.
Clinical outcome measures
Clinical measures recorded included sociodemographic information [i.e., age, race, sex, American Society of Anesthesiologists (ASA) grade, body mass index (BMI), and history of hypertension, type 2 diabetes, or smoking], level operated on, procedure indication, anesthesia used, utilization of a fluoroscopy-guided navigation system (TrackX Technology, Hillsborough, NC, USA), and utilization of an erector spinae plane (ESP) block. Clinical outcome measures recorded included estimated blood loss (eBL; in millileters), operating time (OR time; in minutes), length-of-stay (in days), 30-day readmission rates (yes/no), and both total intraoperative morphine equivalent daily dose (MEDD) and 24-hour post-operative MEDD. Pain scores were assessed using the 10-point visual analog scale (VAS) and physical function was assessed using the Oswestry Disability Index (ODI). While both follow-up and availability of these scores was limited, scores were reported up to 1-year post-op, with 3-month post-op representing the closest time point.
Radiographic outcome measures
Radiographic measures recorded included percent change in spondylolisthesis (mm), anterior disc height (mm), posterior disc height (mm), segmental lordosis (degrees), and lumbar lordosis (degrees). All radiographic values were measured from standing anterior-posterior (AP) and lateral views of the lumbosacral spine and post-operative radiographic measurements were all taken within 3-month post-operation.
TF-TLIF surgical procedure
All patients were given general or awake spinal anesthesia and the TF-TLIF approach was utilized as previously described (23,25). A paramedian skin incision was made bilaterally and, using the Wiltse approach, the plane between the multifidus and longissimus muscles was exposed, revealing the facet joint’s lateral aspect. Percutaneous transpedical screws were placed with the guidance of fluoroscopy-based real-time two-dimensional (2D) instrument tracking system (TrackX Technology). Serial soft tissue dilators were introduced on the facet joint followed by a tubular retractor. Staying within the confines of the facet joint, the disc is accessed without exposing either the traversing or exiting nerve roots. An operative microscope was then brought into the field to optimize visualization and drilling was carried out on the ipsilateral side, following the angle of the facet joint and maintaining within the bony margins of the medial facet to protect the lateral dura mater and traversing nerve root. Taking care to preserve the integrity of both the bony endplates and anterior longitudinal ligament, a full discectomy was performed, after which a DualX dual-expanding cage (Amplify Surgical, Irvine, CA, USA) was placed and expanded to a target height and width. A specially designed bone grafting delivery device with autogenous bone graft and DBX (demineralized bone matrix) demineralized bone matrix was used to fill the space inside and surrounding the cage (DePuy Synthes, Warsaw, IN, USA). After instrumentation, the facets were denuded bilaterally and drilled off, after which autograft and allograft were placed within the facet joints and interbody device position was confirmed with fluoroscopy. Cage sizes were determined from preoperative imaging, spinopelvic parameters, desired postoperative metrics, and intraoperative fit.
Perc-TLIF surgical procedure
Anesthesia comparable to the TF-TLIF approach was utilized and the Perc-TLIF surgical protocol as previously described by Wang et al. and Tabarestani et al. was followed (25,26). Briefly, percutaneous placement of pedicle screws was done, followed by a paramedian stab incision approximately 6 cm from midline. A blunt electromyography (EMG) probe was used to pierce the fascia and, if no firing at 5 mA was observed when entering Kambin’s triangle, this approach was considered a safe entry site into the disc space. Dilators (Spineology, Minneapolis, MN, USA) were placed over the blunt EMG probe and a working channel was docked just inside of the annulus, after which disc material was removed and an expandable cage placed. Cage sizes were determined as above.
MIS-TLIF surgical procedure
Anesthesia comparable to the approaches above were determined preoperatively and the MIS-TLIF surgical procedure was performed following approaches described by Foley et al. and Schwender et al. (18,27). Briefly, two mirroring paramedian incisions were made to place the screw as above. A tubular retractor was placed at the junction of the caudal part of the lamina and the ligamentum flavum. A hemilaminectomy was then done to expose more of the ligament after which the ligament was carefully dissected off the dura. The theca was medialized and discectomy, interbody instrumentation placement, and bone grafting was performed. Cage sizes were determined as above. A comparison of the three different TLIF approaches can be found in Figure 1.
Statistical analysis
Statistical analyses were carried out using R software (Jamovi for MacOS, version 2.6.2). The non-parametric Kruskall-Wallis test for difference in means was used to assess significant differences across the three TLIF groups and the Pearson Chi-squared test for independence was employed for categorical variables. A post-hoc Dunn’s comparison test was performed with Holm corrections to evaluate significant differences between groups based on significant features from the Kruskall-Wallis test. A multivariable logistic regression model was then created to evaluate the risk factors associated with clinical and radiographic outcomes. The covariates used in this analysis were age, race, sex, ASA, BMI, history of hypertension, diabetes, or smoking, type of anesthesia and use of ESP block, use of a fluoroscopy-based real-time 2D navigation system, TLIF type, and level of surgery. A P value of less than 0.05 was considered significant.
Results
Patient demographics
There were 94 total patients eligible and included in the study cohort (TF-TLIF: 17; MIS-TLIF: 31; Perc-TLIF: 46). Average age was 66.8±14.8 years in the TF-TLIF group, 63.1±11.6 years in the MIS-TLIF group, and 64.3±9.4 years in the Perc-TLIF group. Average BMI was 29.6±4.9 kg/m2 in the TF-TLIF group, 29.2±4.7 kg/m2 in the MIS-TLIF group, and 30.9±4.6 kg/m2 in the Perc-TLIF group. The majority of patients received a L4/L5 surgery (TF-TLIF: n=15, 88.2%; MIS-TLIF: n=21, 67.7%; Perc-TLIF: n=35, 76.1%). A full breakdown of the cohort included can be found in Table 1.
Table 1
| Demographic variables | Transfacet TLIF (n=17) | MIS TLIF (n=31) | Percutaneous TLIF (n=46) | P value† |
|---|---|---|---|---|
| Age (years) | 66.8±14.8 | 63.1±11.6 | 64.3±9.4 | 0.34‡ |
| Sex | 0.38 | |||
| Male | 6 (35.3) | 16 (51.6) | 17 (37.0) | |
| Female | 11 (64.7) | 15 (48.4) | 29 (63.0) | |
| Race | 0.06 | |||
| White | 12 (70.6) | 19 (61.3) | 39 (84.8) | |
| Black | 4 (23.5) | 10 (32.3) | 6 (13.0) | |
| Asian | 0 (0.0) | 1 (3.2) | 1 (2.2) | |
| American Indian or Alaskan Native | 1 (5.9) | 1 (3.2) | 0 (0.0) | |
| BMI (kg/m2) | 29.6±4.9 | 29.2±4.7 | 30.9±4.6 | 0.31‡ |
| History of smoking | 4 (23.5) | 13 (41.9) | 16 (34.8) | 0.63 |
| History of hypertension | 12 (70.6) | 20 (64.5) | 31 (67.4) | 0.91 |
| History of diabetes | 2 (11.8) | 10 (32.3) | 12 (26.1) | 0.30 |
| Anesthesia used | <0.001 | |||
| Awake | 14 (82.4) | 5 (16.1) | 15 (32.6) | |
| General | 3 (17.6) | 26 (83.9) | 31 (67.4) | |
| ESP block used | 0.30 | |||
| Yes | 11 (64.7) | 13 (41.9) | 25 (54.3) | |
| No | 6 (35.3) | 18 (58.1) | 21 (45.7) | |
| Level of surgery | 0.88 | |||
| L2/L3 | 0 (0.0) | 1 (3.2) | 1 (2.2) | |
| L3/L4 | 1 (5.9) | 5 (16.1) | 5 (10.9) | |
| L4/L5 | 15 (88.2) | 21 (67.7) | 35 (76.1) | |
| L5/S1 | 1 (5.9) | 4 (12.9) | 5 (10.9) | |
| ASA grade | 0.29 | |||
| 1 | 1 (5.9) | 0 (0.0) | 0 (0.0) | |
| 2 | 5 (29.4) | 7 (22.6) | 18 (39.1) | |
| 3 | 11 (64.7) | 23 (74.2) | 27 (58.7) | |
| 4 | 0 (0.0) | 1 (3.2) | 1 (2.2) |
Data are presented as mean ± standard deviation or n (%). †, Chi-squared test for independence unless noted otherwise; ‡, Kruskall-Wallis test for difference in means. ASA, American Society of Anesthesiologists; BMI, body mass index; ESP, erector spinae plane; MIS, minimally invasive; TLIF, transforaminal lumbar interbody fusion.
Differences in clinical outcomes
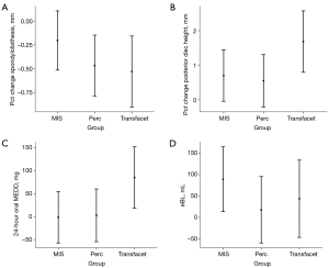
Length of stay and 30-day readmission rates were not significantly different across all three groups (P=0.47 and P=0.37, respectively) (Table 2). Both intraoperative and 24-hour post-op MEDD were also comparable across all three groups; however, the MIS-TLIF group demonstrated the highest usage and variability in intraoperative MEDD (129±162 mg compared to 90±125 and 96±128 mg for TF-TLIF and Perc-TLIF, respectively) and the TF-TLIF group demonstrated the highest usage and variability in post-op MEDD (128±168 mg compared to 34±31 and 35±39 mg for MIS-TLIF and Perc-TLIF, respectively). eBL was significantly different between all three groups, with Perc-TLIF having significantly less blood loss when directly compared to TF-TLIF (52.8±57.8 vs. 79.4±47.0 mL, P=0.006) and MIS-TLIF (52.8±57.8 vs. 141.1±129.7 mL, P<0.001) (Figure 2).
Table 2
| Clinical variables | Transfacet TLIF (n=17) | MIS TLIF (n=31) | Percutaneous TLIF (n=46) | P value† |
|---|---|---|---|---|
| Estimated blood loss (mL) | 79.4±47.0 | 141.1±129.7 | 52.8±57.8 | <0.001 |
| OR time (min) | 205.4±51.2 | 225.8±85.3 | 215.4±116.9 | 0.49 |
| Length of stay (days) | 3.1±2.9 | 3.2±2.2 | 3.0±2.6 | 0.47 |
| 30-day readmission | 0.37‡ | |||
| No readmission | 16 (94.1) | 27 (87.1) | 43 (93.5) | |
| Readmission | 1 (5.9) | 4 (12.9) | 3 (6.5) | |
| Opioid usage (mg) | ||||
| Intraoperative MEDD | 89.6±125.0 | 129.4±162.2 | 95.7±127.5 | 0.19 |
| 24-hour post-operative MEDD | 128.0±167.7 | 33.8±31.1 | 35.3±38.5 | 0.26 |
Data are presented as mean ± standard deviation or n (%). †, Kruskal-Wallis test for difference in means across all groups; ‡, Pearson Chi-squared test for independence. MEDD, morphine equivalent daily dose; MIS, minimally invasive; OR, operating; TLIF, transforaminal lumbar interbody fusion.
Differences in radiographic outcomes
Among the post-op and pre-op radiographic measures examined, percent change in spondylolisthesis (P=0.01), percent change in posterior disc height (P<0.001), and percent change in segmental lordosis (P=0.04) were all found to be significantly different across the three TLIF groups, although post-hoc comparisons between groups did not yield a significant difference for the latter (Table 3). Specifically, the TF-TLIF group demonstrated a significantly higher percent change in spondylolisthesis when compared to the MIS-TLIF group (−30.8%±53.0% vs. −5.2%±41.9%, P=0.02). The TF-TLIF group also demonstrated a significantly higher percent change in posterior disc height when compared directly to both Perc-TLIF (171.0%±109.0% vs. 66.5%±70.1%, P=0.002) and MIS-TLIF (171.0%±109.0% vs. 72.8%±83.0%, P=0.005) (Figure 2).
Table 3
| Radiographic measurement | Transfacet TLIF (n=17) | MIS TLIF (n=28) | Percutaneous TLIF (n=43) | P value† |
|---|---|---|---|---|
| Percent change in spondylolisthesis (%) | −30.8±53.0 | −5.2±41.9 | −20.4±32.8 | 0.01 |
| Percent change in anterior disc height (%) | 126.0±154.0 | 64.9±66.5 | 68.1±91.9 | 0.15 |
| Percent change in posterior disc height (%) | 171.0±109.0 | 72.8±83.0 | 66.5±70.1 | <0.001 |
| Percent change in segmental lordosis (%) | −7.6±79.3 | 113.0±267.0 | 78.0±150.0 | 0.04 |
| Percent change in lumbar lordosis (%) | −10.1±15.9 | −9.1±19.6 | 2.3±29.5 | 0.10 |
Data are presented as mean ± standard deviation. †, Kruskal-Wallis test for difference in means across all groups. MIS, minimally invasive; TLIF, transforaminal lumbar interbody fusion.
Trends in patient-reported pain scores
Visual analogue scale-back (VAS-B) and Patient-Reported Outcomes Measurement Information System (PROMIS) Pain scores are displayed in Table 4. The MIS-TLIF group demonstrated the highest reduction in both VAS-B (−3.6%, −44.0%±42.6%) and PROMIS Pain (1.8%, −5.3%±9.0%), followed by the Perc-TLIF group for reported VAS-B (−2.7%, −40.4%±44.1%) and the TF-TLIF group for reported PROMIS Pain (−0.6%, −1.3%±9.0%). However, neither the differences in VAS-B nor PROMIS Pain were statistically significant across groups.
Table 4
| TLIF approach | VAS-B | PROMIS Pain | |||||||
|---|---|---|---|---|---|---|---|---|---|
| Pre-Op | Post-Op | Average percent change (%) | P value† | Pre-Op | Post-Op | Average percent change (%) | P value† | ||
| Transfacet | 7.7±1.5 [13] | 5.6±2.7 [11] | −26.3±46.9 [8] | 0.70 | 67.3±5.1 [11] | 66.7±6.3 [14] | −1.3±9.0 [5] | 0.20 | |
| Perc | 6.3±2.0 [26] | 3.6±2.7 [26] | −40.4±44.1 [17] | 64.1±9.7 [13] | 65.0±5.0 [19] | 12.9±31.0 [7] | |||
| MIS | 6.1±2.5 [17] | 3.3±2.5 [12] | −44.0±42.6 [12] | 66.1±6.3 [15] | 64.3±7.3 [12] | −5.3±9.0 [11] | |||
Data are presented as mean ± standard deviation [n]. †, Kruskal-Wallis test for difference in means across all groups. MIS, minimally invasive; Op, operation; Perc, percutaneous; PROMIS, Patient-Reported Outcomes Measurement Information System; TLIF, transforaminal lumbar interbody fusion; VAS-B, visual analogue scale-back.
Multivariable regression for clinical and radiographic outcomes
A multiple regression analysis was further performed to identify significant risk factors for clinical and radiographic outcomes (Table S1). Accounting for all other included variables, increased age was significantly associated with a decreased 24-hour post-operative MEDD (P=0.006) (Figure 3).
Using the MIS-TLIF as the reference group and accounting for all other variables, patients receiving a TF-TLIF demonstrated greater percent change in both spondylolisthesis (P=0.03) and posterior disc height (P=0.005), albeit with a higher post-operative MEDD (P=0.001) (Figure 4A-4C). Patients receiving a Perc-TLIF demonstrated less estimated blood loss (P=0.004) but higher percent change in spondylolisthesis (P=0.01) compared to MIS-TLIF (Figure 4A,4D).
Discussion
In this single-institutional, retrospective study, we compared the MIS-TLIF, Perc-TLIF, and TF-TLIF techniques in patients receiving a single-level TLIF, as well as identified broader risk factors for various clinical and radiographic outcomes. We found that all three methods had comparable length of stay and 30-day readmission rates, although the Perc-TLIF group displayed significantly lower estimated blood loss compared to both TF-TLIF and MIS-TLIF. Radiographically, the TF-TLIF group demonstrated significantly better improvement in both spondylolisthesis and posterior disc height. In our multivariable regression model for clinical and radiographic outcomes, the TF-TLIF group demonstrated greater change in spondylolisthesis and posterior disc height, after accounting for other variables, as well as lower estimated blood loss compared to the MIS-TLIF group. These results reflect the radiographic changes published by Khalifeh et al. using the TF-TLIF approach and provides a direct comparison to the other approaches included. One explanation for the observed improvements in the TF-TLIF approach, especially in spondylolisthesis, may be the increased ability to manipulate the vertebra by drilling down the facets (22). Such ability to manipulate and translate the vertebra has been associated with improved clinical outcomes after spinal instrumentation, with open bilateral facetectomies demonstrating improved results in patients with high-grade spondylolisthesis (24,28,29).
For complications, MIS-TLIF, Perc-TLIF, and TF-TLIF all boast reduced operative time, intraoperative blood loss, and length of stay compared to open approaches with studies finding similar rates of fusion and complication in both Perc-TLIF and MIS-TLIF (22,24). However, this is the first study, to the authors’ knowledge, that compares complications among MIS-TLIF, Perc-TLIF, and TF-TLIF. In this study, the TF-TLIF group was also associated with higher post-operative MEDD administration in our regression model; however, this may reflect a higher initial dosage (within 24 hours) and a shorter taper for pain relief. Longer term, the TF-TLIF method has been associated with significant pain improvement at 12-month post-op (24). Together, the inter-group comparisons and regression results in our analysis suggest that the TF-TLIF approach demonstrates comparable estimated blood loss to the Perc-TLIF group, which is associated with minimal blood loss and significantly improved radiographic outcomes (30). Conversely, the highest estimated blood loss was seen in our findings with MIS-TLIF. Although previous studies have noted that MIS-TLIF itself is associated with lower total and hidden blood loss compared to open surgery, these findings suggest that TF-TLIF and Perc-TLIF may offer additional benefit over MIS-TLIF by further reducing blood loss and the associated risk of complications (31,32). Other postoperative complications such as iatrogenic durotomy and transient neurologic deficits are not uncommon in MIS spine approaches with up to 14.3% and 31.4% of patients experiencing these adverse effects, respectively (33). However, no patients included in the present study experienced these complications. Larger prospective studies with age-matched patients are needed to validate comparisons of complication rates across MIS-TLIF, Perc-TLIF, and TF-TLIF.
In our analysis, the MIS-TLIF group demonstrated the greatest change in patient-reported outcomes post-operatively. Of note, all three groups—including the TF-TLIF group—performed within the VAS-B minimum clinically important difference (MCID) range of 1.8 to 4.6, as previously established in patients undergoing MIS-TLIF surgery (34). However, given the low sample size for reported VAS and PROMIS scores due to insufficient follow-up and collection, the authors hesitate to draw conclusions from these data in particular.
Expandable interbody device selection and sizing
The use of expandable interbody cages has demonstrated improved additional sagittal segmental correction, compared to the use of static devices (35,36). However, other studies, such as that by Yee et al. have found marginal increases in spinopelvic parameters such as segmental lordosis between expandable and static devices (37). While all cages used in our analysis were expandable, with a range of 8 to 15 mm, a direct comparison between interbody device types was not done in our cohort of patients. We speculate that differences in the degree of lordosis allowed across cages may partially explain the variation in segmental lordosis seen across TLIF groups in our analysis; however, our regression model did not carry these inter-group differences through. Although variable, the absolute values observed for segmental lordosis was consistent with previously reported literature (36).
Surgical decision making across TLIF techniques
While TF-TLIF may offer the advantage of reduced blood loss and significant improvement in spinopelvic parameters, surgical decision-making regarding TLIF approach remains complicated. For example, in extensive fusions involving three or more operative levels or in cases of moderate to severe deformity, open and traditional MIS approaches remain standard despite the increased length of stay, blood loss, and complication rates, though early findings show new approaches to deformity such as prone lateral interbody fusion may be efficacious in deformity correction (38,39). With the advent of TF-TLIF, establishing candidacy for this approach may be difficult. We have previously shown that the transfacet corridor is larger than either the trans-Kambin (Perc-TLIF) and safe triangle (MIS-TLIF). Another advantage that the TF-TLIF offers is that it allows for easier direct decompression as one simply needs to move the tubular dilator more medial to complete a direct decompression. The Perc-TLIF would require a completely new approach (40). However, as preoperative planning technology evolves to include advanced imaging and segmentation of the transfacet corridor, appropriate candidates for TF-TLIF may be more clearly identified.
We propose that patients should be considered appropriate candidates for Perc-TLIF or TF-TLIF depending on the size of Kambin’s triangle, which may be measured preoperatively using segmentation technology (41). If Kambin’s triangle is of an appropriate size, patients are considered candidates for Perc-TLIF, as the cannula will be able to fit through the corridor. However, in patients with smaller Kambin’s triangle areas, the TF-TLIF approach should be considered as this approach will still allow for simultaneous decompression while accessing the smaller corridor. Further, while patients with deformity or require multiple levels of fusion typically undergo open fusion, MIS-TLIF may be appropriate in cases of less aberrant spinopelvic parameters and a non-rigid spine (38). A further analysis and formalized algorithm to assess candidacy for each type of TLIF based on these patient anatomical factors, while out of scope of this analysis, is forthcoming.
Limitations
There are several limitations of this study to note. First, these cases represent a retrospective review of a single surgeon, and such caveats should be considered when generalizing the findings. A larger sample size, particularly multi-institutional in nature and matched on cohort characteristics, will be a valuable next step; however, these results still yield valuable insights into not only the benefits of different TLIF techniques, but also factors affecting clinical outcomes besides the technique used. Second, the relatively limited reporting of pain scores limits the clinical utility of these findings. Likely due to the high variability and limited follow-up, pain scores and disability indices (e.g., VAS, ODI) were statistically insignificant and not used to draw any conclusions, limiting patient-reported insights. While these values provide some level of post-operative change over time, due to the retrospective nature of this study, follow-up was limited and long-term trends were not included. Still, our findings provide a comprehensive overview of the clinical and radiographic outcomes associated with the various TLIF techniques included. Specific to the TF-TLIF approach, the unique facet anatomy of individual patients must be large enough to pass an interbody and prepare endplates through. Finally, the use of expandable cages in the patients included could provide greater improvement in radiographic measurements than compared to non-expandable cages, without necessarily translating to better patient reported outcomes (42,43). Thus, whether the use of these expandable cages are worth their additional costs separately requires further study.
Conclusions
The TF-TLIF approach shows promising short-term results, especially in reducing spondylolisthesis and improving posterior disc height. However, because of the study’s limitations, further research with larger, balanced groups and longer follow-up is needed to confirm these findings and better understand the benefits of this technique compared to others. This study also discusses some of the varied indications and benefits of three surgical methods: the TF-TLIF, MIS-TLIF, and Perc-TLIF approaches.
Acknowledgments
None.
Footnote
Reporting Checklist: The authors have completed the STROBE reporting checklist. Available at https://jss.amegroups.com/article/view/10.21037/jss-24-168/rc
Data Sharing Statement: Available at https://jss.amegroups.com/article/view/10.21037/jss-24-168/dss
Peer Review File: Available at https://jss.amegroups.com/article/view/10.21037/jss-24-168/prf
Funding: None.
Conflicts of Interest: All authors have completed the ICMJE uniform disclosure form (available at https://jss.amegroups.com/article/view/10.21037/jss-24-168/coif). P.F. reports attending two conferences on spine surgery—one as a fellow with travel support from Stryker (2024 Spine Fellows Course) and one in December 2024 with travel support from Globus (2024 Emerging Technologies Course). P.P. reports research support from Medtronic, Globus, and Cerapedics. He serves as Deputy Editor for the Spine Journal and Editorial Board Chair for JNS Spine. C.R.G. reports grants from the Robert Wood Johnson Harold Amos Medical Faculty Development Program, the Federal Food and Drug Administration, Duke Bass Connections, and the NIH 1R01DE031053-01A1. He is a consultant for Stryker and Medtronic; Deputy Editor for Spine and has patent application/invention disclosures outside of the current work. M.M.A.E.B. reports consulting fees from Amplify Surgical, Globus Medical, and Spineology. The other authors have no conflicts of interest to declare.
Ethical Statement: The authors are accountable for all aspects of the work in ensuring that questions related to the accuracy or integrity of any part of the work are appropriately investigated and resolved. This study was conducted in accordance with the Declaration of Helsinki and its subsequent amendments, and approved by the Duke University Hospital Institutional Review Board (IRB No. Pro00071025). Individual consent for this retrospective analysis was waived.
Open Access Statement: This is an Open Access article distributed in accordance with the Creative Commons Attribution-NonCommercial-NoDerivs 4.0 International License (CC BY-NC-ND 4.0), which permits the non-commercial replication and distribution of the article with the strict proviso that no changes or edits are made and the original work is properly cited (including links to both the formal publication through the relevant DOI and the license). See: https://creativecommons.org/licenses/by-nc-nd/4.0/.
References
- Drossopoulos PN, Sharma A, Ononogbu-Uche FC, et al. Pushing the Limits of Minimally Invasive Spine Surgery-From Preoperative to Intraoperative to Postoperative Management. J Clin Med 2024;13:2410. [Crossref] [PubMed]
- Choi JY, Park SM, Kim HJ, et al. Recent Updates on Minimally Invasive Spine Surgery: Techniques, Technologies, and Indications. Asian Spine J 2022;16:1013-21. [Crossref] [PubMed]
- Liounakos JI, Wang MY. The Endoscopic Approach to Lumbar Discectomy, Fusion, and Enhanced Recovery: A Review. Global Spine J 2020;10:65S-9S. [Crossref] [PubMed]
- Eck JC, Hodges S, Humphreys SC. Minimally invasive lumbar spinal fusion. J Am Acad Orthop Surg 2007;15:321-9. [Crossref] [PubMed]
- Fessler RG, O'Toole JE, Eichholz KM, et al. The development of minimally invasive spine surgery. Neurosurg Clin N Am 2006;17:401-9. [Crossref] [PubMed]
- Oppenheimer JH, DeCastro I, McDonnell DE. Minimally invasive spine technology and minimally invasive spine surgery: a historical review. Neurosurg Focus 2009;27:E9. [Crossref] [PubMed]
- Smith ZA, Fessler RG. Paradigm changes in spine surgery: evolution of minimally invasive techniques. Nat Rev Neurol 2012;8:443-50. [Crossref] [PubMed]
- O'Toole JE, Eichholz KM, Fessler RG. Surgical site infection rates after minimally invasive spinal surgery. J Neurosurg Spine 2009;11:471-6. [Crossref] [PubMed]
- Rosen DS, Ferguson SD, Ogden AT, et al. Obesity and self-reported outcome after minimally invasive lumbar spinal fusion surgery. Neurosurgery 2008;63:956-60; discussion 960. [Crossref] [PubMed]
- Khoo LT, Smith ZA, Asgarzadie F, et al. Minimally invasive extracavitary approach for thoracic discectomy and interbody fusion: 1-year clinical and radiographic outcomes in 13 patients compared with a cohort of traditional anterior transthoracic approaches. J Neurosurg Spine 2011;14:250-60. [Crossref] [PubMed]
- Asgarzadie F, Khoo LT. Minimally invasive operative management for lumbar spinal stenosis: overview of early and long-term outcomes. Orthop Clin North Am 2007;38:387-99; abstract vi-vii. [Crossref] [PubMed]
- Allen RT, Garfin SR. The economics of minimally invasive spine surgery: the value perspective. Spine (Phila Pa 1976) 2010;35:S375-82. [Crossref] [PubMed]
- Wang MY, Cummock MD, Yu Y, et al. An analysis of the differences in the acute hospitalization charges following minimally invasive versus open posterior lumbar interbody fusion. J Neurosurg Spine 2010;12:694-9. [Crossref] [PubMed]
- Okuda S, Miyauchi A, Oda T, et al. Surgical complications of posterior lumbar interbody fusion with total facetectomy in 251 patients. J Neurosurg Spine 2006;4:304-9. [Crossref] [PubMed]
- Drossopoulos PN, Ononogbu-Uche FC, Tabarestani TQ, et al. Evolution of the Transforaminal Lumbar Interbody Fusion (TLIF): From Open to Percutaneous to Patient-Specific. J Clin Med 2024;13:2271. [Crossref] [PubMed]
- Foley KT, Holly LT, Schwender JD. Minimally invasive lumbar fusion. Spine (Phila Pa 1976) 2003;28:S26-35. [Crossref] [PubMed]
- Holly LT, Schwender JD, Rouben DP, et al. Minimally invasive transforaminal lumbar interbody fusion: indications, technique, and complications. Neurosurg Focus 2006;20:E6. [Crossref] [PubMed]
- Foley KT, Lefkowitz MA. Advances in minimally invasive spine surgery. Clin Neurosurg 2002;49:499-517.
- Abbasi H, Storlie NR, Aya KL. Transfacet Oblique Lateral Lumbar Interbody Fusion: Technical Description and Early Results. Cureus 2022;14:e26533. [Crossref] [PubMed]
- Khalifeh JM, Dibble CF, Stecher P, et al. Transfacet Minimally Invasive Transforaminal Lumbar Interbody Fusion With an Expandable Interbody Device-Part I: 2-Dimensional Operative Video and Technical Report. Oper Neurosurg (Hagerstown) 2020;19:E473-9. [Crossref] [PubMed]
- Cole CD, McCall TD, Schmidt MH, et al. Comparison of low back fusion techniques: transforaminal lumbar interbody fusion (TLIF) or posterior lumbar interbody fusion (PLIF) approaches. Curr Rev Musculoskelet Med 2009;2:118-26. [Crossref] [PubMed]
- Khalifeh JM, Dibble CF, Stecher P, et al. Transfacet Minimally Invasive Transforaminal Lumbar Interbody Fusion With an Expandable Interbody Device-Part II: Consecutive Case Series. Oper Neurosurg (Hagerstown) 2020;19:518-29. [Crossref] [PubMed]
- Huang CC, Brena KR, Tabarestani TQ, et al. Minimally-invasive trans-facet lumbar interbody fusion using a dual-dimension expandable cage: preliminary results of a multi-institutional retrospective study. J Spine Surg 2024;10:403-15. [Crossref] [PubMed]
- Zhu L, Cai T, Shan Y, et al. Comparison of Clinical Outcomes and Complications Between Percutaneous Endoscopic and Minimally Invasive Transforaminal Lumbar Interbody Fusion for Degenerative Lumbar Disease: A Systematic Review and Meta-Analysis. Pain Physician 2021;24:441-52.
- Tabarestani TQ, Wang TY, Sykes DAW, et al. Two-Year Clinical and Radiographic Outcomes for Percutaneous Lumbar Interbody Fusion With an Expandable Titanium Cage Through Kambin's Triangle Without Facetectomy. Int J Spine Surg 2023;17:760-70. [Crossref] [PubMed]
- Wang TY, Mehta VA, Gabr M, et al. Percutaneous Lumbar Interbody Fusion With an Expandable Titanium Cage Through Kambin's Triangle: A Case Series With Initial Clinical and Radiographic Results. Int J Spine Surg 2021;15:1133-41. [Crossref] [PubMed]
- Schwender JD, Holly LT, Rouben DP, et al. Minimally invasive transforaminal lumbar interbody fusion (TLIF): technical feasibility and initial results. J Spinal Disord Tech 2005;18:S1-6. [Crossref] [PubMed]
- Yi J. A New Technique for Lumbar Spondylolisthesis Reduction Using T-Shaped Tools. Asian Spine J 2023;17:933-8. [Crossref] [PubMed]
- Chang PY, Liao CH, Wu JC, et al. Reduction of high-grade lumbosacral spondylolisthesis by minimally invasive transforaminal lumbar interbody fusion: A technical note. Interdisciplinary Neurosurgery 2015;2:79-82.
- Shalita C, Crutcher C, Mitra H, et al. Percutaneous transforaminal lumbar interbody fusion ins associated with reduced postoperative opioid consumption when compared with minimally invasive transforaminal lumbar interbody fusion. Neurosurgery 2022;68:32-3.
- Peng YJ, Fan ZY, Wang QL, et al. Comparison of the total and hidden blood loss in patients undergoing single-level open and unilateral biportal endoscopic transforaminal lumbar interbody fusion: a retrospective case control study. BMC Musculoskelet Disord 2023;24:295. [Crossref] [PubMed]
- Villavicencio AT, Burneikiene S, Roeca CM, et al. Minimally invasive versus open transforaminal lumbar interbody fusion. Surg Neurol Int 2010;1:12. [Crossref] [PubMed]
- Wong AP, Smith ZA, Nixon AT, et al. Intraoperative and perioperative complications in minimally invasive transforaminal lumbar interbody fusion: a review of 513 patients. J Neurosurg Spine 2015;22:487-95. [Crossref] [PubMed]
- Kim CW, Doerr TM, Luna IY, et al. Minimally Invasive Transforaminal Lumbar Interbody Fusion Using Expandable Technology: A Clinical and Radiographic Analysis of 50 Patients. World Neurosurg 2016;90:228-35. [Crossref] [PubMed]
- Nie JW, Hartman TJ, MacGregor KR, et al. Minimum Clinically Important Difference in Patients Undergoing Minimally Invasive Transforaminal Lumbar Interbody Fusion. Neurosurgery 2023;92:1199-207. [Crossref] [PubMed]
- Massie LW, Zakaria HM, Schultz LR, et al. Assessment of radiographic and clinical outcomes of an articulating expandable interbody cage in minimally invasive transforaminal lumbar interbody fusion for spondylolisthesis. Neurosurg Focus 2018;44:E8. [Crossref] [PubMed]
- Yee TJ, Joseph JR, Terman SW, et al. Expandable vs Static Cages in Transforaminal Lumbar Interbody Fusion: Radiographic Comparison of Segmental and Lumbar Sagittal Angles. Neurosurgery 2017;81:69-74. [Crossref] [PubMed]
- Mummaneni PV, Park P, Shaffrey CI, et al. The MISDEF2 algorithm: an updated algorithm for patient selection in minimally invasive deformity surgery. J Neurosurg Spine 2020;32:221-8. [Crossref] [PubMed]
- Bartlett AM, Dibble CF, Sykes DAW, et al. Early Experience with Prone Lateral Interbody Fusion in Deformity Correction: A Single-Institution Experience. J Clin Med 2024;13:2279. [Crossref] [PubMed]
- Tabarestani TQ, Drossopoulos PN, Huang CC, et al. The Importance of Planning Ahead: A Three-Dimensional Analysis of the Novel Trans-Facet Corridor for Posterior Lumbar Interbody Fusion Using Segmentation Technology. World Neurosurg 2024;188:e247-58. [Crossref] [PubMed]
- Tabarestani TQ, Salven DS, Sykes DAW, et al. Using Novel Segmentation Technology to Define Safe Corridors for Minimally Invasive Posterior Lumbar Interbody Fusion. Oper Neurosurg (Hagerstown) 2024;27:14-22. [Crossref] [PubMed]
- Ledesma JA, Lambrechts MJ, Dees A, et al. Static versus Expandable Interbody Fusion Devices: A Comparison of 1-Year Clinical and Radiographic Outcomes in Minimally Invasive Transforaminal Lumbar Interbody Fusion. Asian Spine J 2023;17:61-74. [Crossref] [PubMed]
- Calvachi-Prieto P, McAvoy MB, Cerecedo-Lopez CD, et al. Expandable Versus Static Cages in Minimally Invasive Lumbar Interbody Fusion: A Systematic Review and Meta-Analysis. World Neurosurg 2021;151:e607-14. [Crossref] [PubMed]

